พัฒนาฝีมือการลงทุนด้วย confusion matrix
การลงทุนนั้นสามารถทำได้ในหลากหลายสินทรัพย์ ไม่ว่าจะเป็นหุ้น ทองคำ น้ำมัน คริปโทเคอร์เรนซี พันธบัตรรัฐบาล ตราสารหนี้ เป็นต้น จุดมุ่งหมายหลักของนักลงทุนคือสร้างผลตอบแทนสูงสุดในระดับความเสี่ยงที่ยอมรับได้ ซึ่งแต่ละคนยอมรับความเสี่ยงได้ไม่เท่ากันขึ้นอยู่กับหลากหลายปัจจัยรายบุคคล ในบทความนี้เราจะนำเสนอตัวอย่างวิธีการนำ confusion matrix มาใช้วิเคราะห์ผลการลงทุนย้อนหลังเพื่อนำมาช่วยพัฒนาฝีมือการลงทุน โดยจะโฟกัสไปที่การลงทุนในหุ้น แต่ก็ยังสามารถนำไปประยุกต์ใช้กับการลงทุนในสินทรัพย์อื่น ๆ ได้เช่นกันครับ

วิธีพัฒนาฝีมือการลงทุนให้ดีขึ้นนั้น ไม่ได้จำกัดอยู่เพียงแค่การศึกษาหาความรู้เพิ่มเติมจากภายนอกเพียงอย่างเดียว การทำความรู้จักกับนิสัยเรา ความสามารถ จุดแข็งและจุดอ่อนในการลงทุนของเราเองก็เป็นสิ่งสำคัญที่จะช่วยให้เราสามารถปรับปรุงแก้ไข และพัฒนาฝีมือให้ดีขึ้นได้ครับ วิธีหนึ่งที่จะช่วยให้เราสามารถหาจุดแข็งและจุดอ่อนของตัวเองได้ คือ การมองย้อนไปในอดีตว่า ที่ผ่านมานั้นการลงทุนของเราเป็นอย่างไร (Tracking Performance) ซึ่งโดยส่วนใหญ่มักจะนิยมดูกันที่อัตราผลตอบแทนต่อปี (Annualized Rate of Return, ROR) เป็นหลัก
อย่างไรก็ตาม ROR ที่ดีนั้นเป็นเพียงผลลัพธ์ปลายทางที่เกิดขึ้นจากหลากหลายปัจจัย เช่น การลงทุนในแต่ละครั้งมีอัตราการตัดสินใจถูก/ผิดบ่อยแค่ไหน (Win Rate) ในแต่ละครั้งที่ตัดสินใจถูกนั้นได้กำไรเฉลี่ยกี่เปอร์เซ็นต์ (Average Gain per Trade) และครั้งที่ตัดสินใจผิดนั้นขาดทุนเฉลี่ยกี่เปอร์เซ็นต์ (Average Loss per Trade) เป็นต้น ปัจจัยต่าง ๆ เหล่านี้เรียกว่า Trading Metrics (ตัวชี้วัดผลการลงทุน : แปลโดยผู้เขียน) ซึ่งสามารถหาอ่านได้ตามเว็บไซต์การลงทุนต่าง ๆ เช่นใน Investopedia เป็นต้น
อย่างไรก็ดี Trading Metrics ในบทความต่าง ๆ เหล่านี้มักจะสนใจวัดความสามารถของเราเฉพาะในครั้งที่เราเลือกตัดสินใจลงทุนแล้วเท่านั้น ว่าลงทุนไปแล้วถือเป็นการตัดสินใจที่ถูกต้องบ่อยครั้งแค่ไหน ได้กำไรหรือขาดทุนครั้งละเท่าไหร่บ้าง เป็นต้น แต่ในความเป็นจริงนั้นคงไม่ใช่ทุกครั้งที่เราจะตัดสินใจลงทุน บ่อยครั้งเราก็เลือกตัดสินใจที่จะไม่ลงทุนได้เช่นกัน ดังนั้นแล้ว การดูแต่ Trading Metrics เหล่านี้เพียงอย่างเดียวจึงอาจทำให้มองไม่เห็นภาพในฝั่งที่เราเลือกที่จะไม่ลงทุนว่าเราตัดสินใจได้ดีเพียงใด ลองมาดูวิธีการนำ Confusion Matrix มาใช้เพื่อแก้ปัญหานี้กันครับ
Confusion Matrix

Confusion Matrix ในรูปที่ 1 แสดงให้เห็นถึงผลลัพธ์ของการตัดสินใจลงทุนหรือไม่ลงทุน ว่าสามารถเกิดขึ้นได้ 4 กรณี คือ
- ตัดสินใจลงทุน และราคาหุ้นขึ้น (ช่องซ้ายบน) ผลลัพธ์คือ เราได้กำไรจากการลงทุน (True Positive)
- ตัดสินใจลงทุน และราคาหุ้นลง (ช่องขวาบน) ผลลัพธ์คือ เราขาดทุนจากการลงทุน (False Positive)
- ตัดสินใจไม่ลงทุน และราคาหุ้นขึ้น (ช่องซ้ายล่าง) คือ เราพลาดโอกาสที่จะได้กำไร (ตกรถ) (False Negative)
- ตัดสินใจไม่ลงทุน และราคาหุ้นลง (ช่องขวาล่าง) คือ เราเลือกไม่ลงทุนในโอกาสที่จะนำไปสู่การขาดทุน (ไม่ติดดอย) (True Negative)
จะเห็นได้ว่า Trading Metrics ต่าง ๆ ที่สนใจเฉพาะครั้งที่เราตัดสินใจลงทุนเท่านั้นจะไม่ครอบคลุม 2 กรณีหลังที่เราตัดสินใจไม่ลงทุน ยกตัวอย่างเช่น อัตราการตัดสินใจถูก (Win Rate) นั้นจะนำจำนวนครั้งที่ได้กำไร (ข้อ 1) มาหารด้วยจำนวนครั้งที่ลงทุนทั้งหมด (ข้อ 1+2) เท่านั้น

การมองข้ามครั้งที่เราตัดสินใจไม่ลงทุน (ข้อ 3 และ 4) ไป จะทำให้เรามองไม่เห็นจำนวนครั้งที่เสียโอกาสการลงทุนที่ดี (ข้อ 3) ว่าเกิดขึ้นบ่อยครั้งเพียงใด
Case Study
เพื่อให้เห็นภาพมากขึ้นจะขอยกตัวอย่างเปรียบเทียบ Performance ผลการลงทุนในหุ้นของ 2 นักลงทุน (Mr. A และ Mr. B) ที่มีการติดตามหุ้นชุดเดียวกันในช่วงระยะเวลาเดียวกัน แต่ใช้กลยุทธ์การลงทุนที่แตกต่างกัน โดยเราจะวัด Performance จากกำไรสุทธิที่นักลงทุนแต่ละคนทำได้ซึ่งสามารถคำนวณได้ดังนี้

Mr. A ใช้กลยุทธ์การตัดสินใจลงทุนที่ค่อนข้างรัดกุมมาก เลือกลงทุนเฉพาะครั้งที่เขามั่นใจสูงว่าจะไม่ขาดทุน ส่วน Mr. B นั้นเลือกใช้กลยุทธ์การตัดสินใจลงทุนที่เสี่ยงแบบพอดี ไม่จำเป็นที่จะต้องมั่นใจเต็ม 100% ว่าจะได้กำไร แต่มีการตั้งจุดจำกัดขาดทุน (Cut Loss) ให้ขาดทุนไม่เกินครั้งละ 10% ผลการลงทุนของทั้ง 2 คนในปี 2021 เป็นดังนี้
Mr. A
Mr. A มีการตัดสินใจทั้งหมด 100 ครั้ง โดยเลือกที่จะลงทุนเฉพาะในครั้งที่เขามีความมั่นใจค่อนข้างมากว่าไม่น่าจะขาดทุน รวมทั้งหมดเพียง 3 ครั้ง ครั้งละ 100 บาท (จำนวนเงินสมมุติ เพื่อความง่าย) โดยในทั้ง 3 ครั้งนี้ A ได้กำไรทุกครั้งเฉลี่ยครั้งละ 30% (คิดเป็นกำไรครั้งละ 30 บาท) ส่วนอีก 97 ครั้งที่เหลือ A ตัดสินใจที่จะไม่ลงทุนเลย ซึ่งในนี้มี 47 ครั้งที่เขาพลาดโอกาสที่จะได้กำไร และอีก 50 ครั้งที่เขาตัดสินใจถูกแล้วที่ไม่ลงทุนในโอกาสที่จะนำไปสู่การขาดทุน เราเขียน Confusion Matrix ของการตัดสินใจของ A ได้ดังนี้ (รูปที่ 2)

Win Rate และ Performance ของ Mr. A คือ

Mr. B
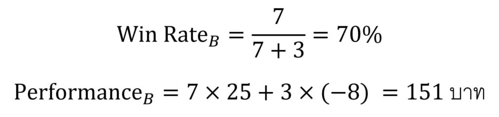
ในปีเดียวกันนี้เอง Mr. B ติดตามหุ้นชุดเดียวกันกับ Mr. A และได้มีการตัดสินใจทั้งหมด 100 ครั้งเช่นกัน โดย B เลือกที่จะลงทุนในครั้งที่เขามั่นใจว่าโอกาส (ความน่าจะเป็น) ที่จะชนะมีอย่างน้อย 2 ใน 3 รวมทั้งหมด 10 ครั้ง ครั้งละ 100 บาทเท่ากันกับ Mr. A ผลปรากฏว่า ในการลงทุน 10 ครั้งนี้ B ได้กำไร 7 ครั้ง เฉลี่ยครั้งละ 25% (คิดเป็นกำไรครั้งละ 25 บาท) และขาดทุน 3 ครั้ง เฉลี่ยครั้งละ 8% (คิดเป็นขาดทุนครั้งละ 8 บาท) (เพราะ B มีการจำกัดความเสี่ยงโดยการตัดขาดทุน (Cut Loss) ให้ขาดทุนไม่เกินครั้งละ 10%) เราเขียน Confusion Matrix ของการตัดสินใจของนาย B ได้ดังนี้ (รูปที่ 3)

Win Rate และ Performance ของ Mr. B คือ

A vs B
จะเห็นได้ว่า ถึงแม้ว่าในทุกครั้งที่ลงทุน A จะตัดสินใจถูกหมดเลย (Win Rate 100%) และในแต่ละครั้งก็ได้กำไรสูงกว่า B ด้วย (30% vs 25%) แต่หลังจากจบปีการลงทุนแล้ว A กลับทำผลตอบแทนได้น้อยกว่า B อย่างมีนัยสำคัญ (90 บาท vs 151 บาท) ทั้ง ๆ ที่ B มี Win Rate เพียง 70% เท่านั้นเอง ตัวอย่างนี้ชี้ให้เห็นว่าถ้าเราดูเฉพาะ Win Rate เพียงอย่างเดียวก็อาจจะเกิดความสับสนได้ว่าทำไม A ตัดสินใจถูกหมดเลยแต่กลับได้กำไรน้อยกว่า B ถ้าเราหาสาเหตุไม่เจอก็ยากครับที่จะปรับปรุงพัฒนาฝีมือให้ดีขึ้นได้ ตรงจุดนี้เองที่ Confusion Matrix จะเข้ามาช่วยทำให้เรามองเห็นว่า อ๋อ ถ้าลองดูในช่องซ้ายล่างของ Confusion Matrix ในรูปที่ 2 และ 3 เทียบกันนะ ก็จะเห็นเลยว่า A ตกรถบ่อย ปล่อยให้โอกาสหลุดมือไปมากกว่า B นั่นเองครับ (47 vs 43 ครั้ง)
Too strict investment criteria
การที่ Mr. A มี Win Rate สูงมากแต่ก็ตกรถบ่อยมาก ประกอบกันกับจำนวนครั้งที่เขาตัดสินใจลงทุนมีน้อยมาก (เพียง 3 ครั้งในทั้งหมด 100 ครั้ง) ทั้ง ๆ ที่ใน 100 ครั้งนี้หุ้นมีราคาขึ้น/ลง 50/50 ครั้งเท่า ๆ กัน นั้นสามารถตีความได้ว่า A ตั้งกฎเกณฑ์การลงทุนไว้รัดกุมมากเกินไป (too strict investment criteria) วิธีแก้ปัญหาของ A คือทำ 2 ข้อดังต่อไปนี้ร่วมกัน
- ลดความรัดกุมของเกณฑ์การลงทุนลง
- กำหนดกลยุทธ์การตัดขาดทุน (Cut Loss) ให้ดี
ข้อ 1 จะทำให้ A ตัดสินใจลงทุนบ่อยขึ้น ทำให้มีโอกาสที่จำนวนครั้งที่ได้กำไรจะเพิ่มขึ้น แต่ในขณะเดียวกันก็มีโอกาสที่จำนวนครั้งที่ขาดทุนจะเพิ่มขึ้นเช่นกัน ดังนั้นแล้วจึงต้องวางกลยุทธ์จำกัดขาดทุน (ข้อ 2) ด้วยเพื่อให้ทุกครั้งที่ขาดทุนจะไม่สร้างความเสียหายให้แก่พอร์ตมากเกินไป การทำสองข้อนี้ร่วมกันจะทำให้ A มีผลลัพธ์การลงทุนที่ใกล้เคียงกับ B มากขึ้น สร้างผลตอบแทนการลงทุนได้สูงขึ้นครับ
วิธีพัฒนาฝีมือการลงทุนให้ดีขึ้นนั้น ไม่ได้จำกัดอยู่เพียงแค่การศึกษาหาความรู้เพิ่มเติมจากภายนอกเพียงอย่างเดียว การทำความรู้จักกับนิสัยเรา ความสามารถ จุดแข็งและจุดอ่อนในการลงทุนของเราเองก็เป็นสิ่งสำคัญที่จะช่วยให้เราสามารถปรับปรุงแก้ไข และพัฒนาฝีมือให้ดีขึ้นได้ครับ
สรุปส่งท้าย
บทความนี้เราได้พบกับตัวอย่างการนำ Confusion Matrix มาวัดความสามารถในการตัดสินใจ ชี้จุดอ่อนให้เราสามารถแก้ไขเพื่อพัฒนาฝีมือการลงทุนให้ดีขึ้นได้ เราได้ยกหนึ่งตัวอย่างประเภทนักลงทุน (Mr. A) ที่มีกฎเกณฑ์การลงทุนที่รัดกุมมากเกินไป (too strict investment criteria) ทำให้พลาดโอกาสลงทุนไปหลายครั้ง และได้ชี้ช่องทางการปรับปรุงแก้ไขเพื่อให้มีผลตอบแทนการลงทุนที่สูงขึ้นได้
นักลงทุนยังมีอีกหลากหลายประเภท มีข้อผิดพลาดที่แตกต่างกัน ซึ่งไม่ได้ถูกกล่าวถึงในบทความนี้ (ด้วยข้อจำกัดของความยาวเนื้อหา) แต่อย่างไรก็ดี ผู้เขียนมีความเชื่อมั่นว่า บทความนี้จะชี้ช่องทางให้ผู้อ่านสามารถนำหลักการไปประยุกต์ใช้เพื่อพัฒนาฝีมือการลงทุนให้ดีขึ้นได้ ขอให้ประสบความสำเร็จในการลงทุนครับ
เขียนโดย อิสระพงศ์ เอกสินชล
ตรวจทานโดย อนันต์วัฒน์ ทิพย์ภาวัต